集
支持IPv6
无障碍
首页
政府信息公开
网上办事
在线咨询
网上信访
返回玉林门户
26165570
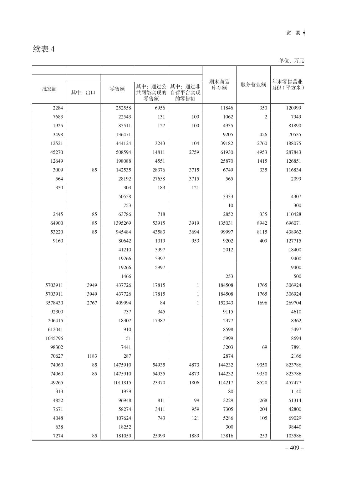
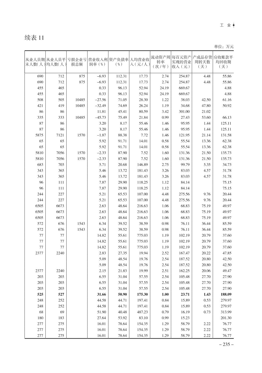
2023年玉林统计年鉴
20
玉林市统计局
2025-11-13
31100
统计数据
当前位置:
首页
>
政府信息公开
>
法定主动公开内容
>
统计数据
2023年玉林统计年鉴
2025-11-13 17:54 来源:玉林市统计局
我要收藏
公共资源调用站点
文章分享
分享
微信
头条
微博
空间
qq
【字体:
大
中
小
】
打印
文件下载:
关联文件: